Last Updated on March 4, 2026 by Maged kamel
A solved problem 4-2-How do we find design compressive strength?
Summary of the post content.
The following slide summarises the content of the current post; we will discuss the various types of Graphs. The first graph is between λc and Fcr/Fy, where λc is the ratio of Fy/Fe between the yield stress and the critical stress of a column.
The second graph shows the relationship between the lc/r (slenderness ratio) and the Critical stress Fcr. We will use Solved Problem 4.2 to apply the two graphs and determine the required critical stress, thereby calculating the available strength for the column without relying on tables.

This is the known graph, which shows the relationship between L/r (the slenderness ratio) on the x-axis and Fcr on the y-axis; we could add another y-axis for Fcr/Fy, where Fy is the column’s yield stress.

An illustration of the graph between λc and Fcr/Fy.
There is another Graph that we will focus on: the graph between λc and Fcr/Fy, where λc is the ratio of Fy/Fe between the yield stress and the critical stress of a column.
The source is the Unified Steel Design Handbook. We can use λc to determine whether the column under study is short(inelastic) or long (elastic) if the value of λc is bigger or smaller than 1.50, as we can see from the following slide image.

There is λr that is used to find out whether any given column is short or long. It is a given relation that is based on the Yield stress and Fy and the modulus of elasticity.
By comparing the maximum value of the slenderness ratios (Lcx/rx and Lcy/ry) with the value of λr. if the maximum slenderness ratio is less than λr, the column is short; else, the column is long.
The value of λr for Fy=50 ksi equals 113.43.

What is the ratio λc^2?
What is the ratio λc^2? The ratio λc^2 equals Fy /Fe, where Fe is the Euler stress value and is given by π^2*E/(L/r)^2. We will begin studying a long column where λr = 113.48.
We use the expression π^2* E / (L/r)^2 as the denominator, and we obtain a value of λc^2 equal to 1.7469 × 10^-1 * (Lc/r) after substituting the values of Π, Fy, and E. Please refer to the next slide image for illustration.

What is the value of λc^2 when λr=113.43 for an elastic column?
If we use Lc/r = 113.43 and substitute it into the equation for λc^2, we get 2.25. The square root of λ^2 is λ, which equals 1.50, for a long column λc to be equal to or bigger than 1.50. The ratio of Fcr/Fy=0.39.

What is the value of Fcr/Fy for a short column when λr=113.43?
We will check the value of Fcr/Fy for a short column, using 0.658^λ^ multiplied by Fy/Fy for λ^2=2.25, resulting in Fcr/Fy=0.39.

I have included all the necessary data for the graph between λc and Fcr/Fy. The vertical line at λc separates the graph into two parts; the right side of the line represents the graph of FCr/Fy for an elastic column.
At the same time, the left side of the line represents the graph of FCr/Fy for an inelastic column. For a value of λc equals zero,, represents a slenderness ratio of 0, and the Fe value equals infinity, the Fcr equation equals 0.658^0*Fy will give Fcr=Fy as shown in the graph.

A solved problem 4-2: How do we find design compressive strength?
Now, for problem 4-2 from Prof. Sequi’s book, for a W section W14x 74 of A992, the column is 20 ft long and pinned at both ends. Compute the design compressive strength for LRFD and ASD. This solved problem is included in the fifth and sixth versions of the book.
This is an analysis for a given column of A W14x74 of A992, L=20′.
The following slide image shows the difference between the major and Minor directions for the column.

Table 1-1 provides all the necessary information for the given section of W14*74, including Ix, rx, area, Iy, rx, and ry, and the area used to calculate the slenderness ratio and Euler strength. We will estimate the values of Lcx and Lcy in inches. The effective length factor K equals 1 for both the X and Y directions.

After obtaining the necessary information from part 2 of Table 1-1, we estimate the slenderness ratio between Lcx/rx and lcy/ry and determine the larger value, which is Lcy/Lry.

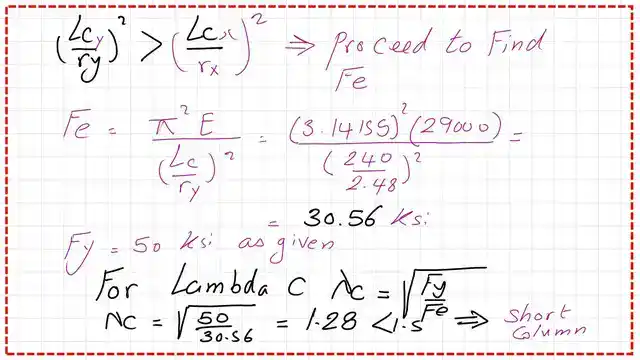
Check the value of Euler stress.
The following steps are to be performed.
A- Find the value of the Euler stress by plugging in the value of lc/ry=240/2.48, and substitute with the value of Pi and E. The Fe value equals 30.56 ksi.
B-check whether the column is short or long by determining the value of λc, which equals the square root of Fy/FE=1.28; if this value is smaller than 1.50, the column is short.

Find the Value of Fcr using the λc versus Fcr/Fy graph.
C- estimate the value of The Fcr/Fy; since the column is short, use Fcr=0.658^(50/30.56)=0.5041, which is bigger than 0.40 and less than 0.60; multiply by Fy; get a value of 25.51 Ksi.

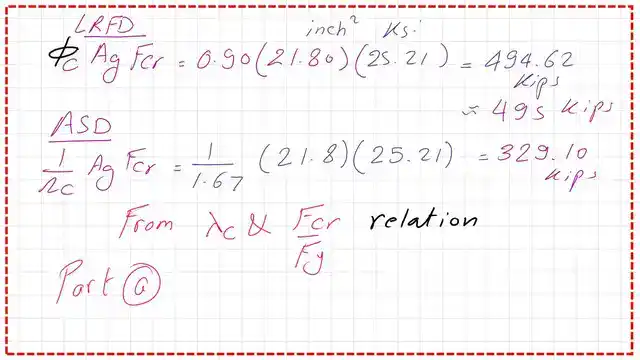
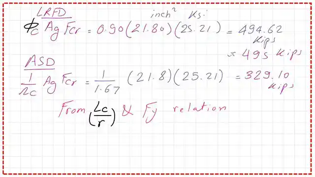
For LRFD, use Φ = 0.9; for ASD, use Ω = 1.67. The column’s LRFD design strength is 495 kips; this value can be compared to the bigger value of (1.4d or 1.2d+1.6L), where D is the dead load, and L is the Live load.
The allowable design strength of ASD is 329 kips, which can be compared with D+L. The detailed calculations are shown in the slide image; the estimate was done by using λc versus Fcr/Fy.

Find the Value of Fcr using lc/r versus Fcr graph.
Using the lc/r versus Fcr graph, we plug in the value of Lcy/ry as equal to 96.774 and draw a vertical line since L/r is smaller than 113.43, the column is short, use the equation of Fcr=0.658^(50/30.56)*Fy=25.21 ksi, the same value that we have obtained using the previous estimate.

The column’s LRFD design strength is 495 kips, and the ASD value is equal to 329 kips, the same as we estimated earlier. Thanks a lot.

The PDF for this post can be viewed and downloaded from the next document.
The following post is How to compute critical stress-Table 4-22?
For a good A Beginner’s Guide to the Steel Construction Manual, 14th ed. Chapter 7 – Concentrically Loaded Compression Members.
For a good A Beginner’s Guide to the Steel Construction Manual, 15th ed. Chapter 7 – Concentrically Loaded Compression Members.
For a good A Beginner’s Guide to the Steel Construction Manual, 16th ed. Chapter 7 – Concentrically Loaded Compression Members.