Last Updated on February 28, 2026 by Maged kamel
- Location of plastic hinges and effect on the lambda value
- Different selections for the locations of the plastic hinges.
- The plastic hinges between joints A &C.
- Derive a general expression for the value of lambda based on the location of the hinged support.
- The plastic hinges between joints C &B.
- The Graph for the value of Mp is based on the locations of the plastic hinges.
Location of plastic hinges and effect on the lambda value
The location of a plastic hinge significantly affects the load factor graph, typically creating a U-shaped or concave curve where the minimum point represents the actual collapse load factor (λ). The following slide illustrates the procedure to determine the different values of λ based on the assumed plastic hinges.

Different selections for the locations of the plastic hinges.
The plastic hinges between joints A &C.
We are going to check an example, to examine a different selection of locations for a plastic hinge using the upper bound.
In our previous example (see post 33), our selected plastic hinge was at point c, where the load acts. If somebody else selects another point, say point d between points A and C.
The distance d is 0.20 m from joint A. Let us check the mechanism due to that selection.
The number of inderteminancy=3+1-3=1, we need two joints to create a mechanism. We have two hinges: one at A and the other at D.
We will use either the kinematic or the virtual work method. We have a negative Mp at joint A and a positive Mp at joint D. The deflection at point D is Δ. We can relate the deflection to angle β.
For the angle α at joint A, the slope tan α= α=Δ/0.20. Let the slope at the joint b be β, the distance d- b is=1-02.0=0.80 m. Angle β = tan β = Δ/0.80. We have Mp acting at d with an angle = α + β.

The external work at C = the internal work; note that 32*λ*(deflection underneath the load).=32*λ1*(0.50/0.80)* Δ =32*λ1*(5/8)* Δ = the internal work= Mp*α+Mp*(α+ β )=Mp*(Δ/0.20)+Mp*((Δ/0.20)+(Δ/0.80)). Please refer to the following slide.

32*λ*5/8*Δ=20*λ*Δ=Mp*( 0.20)+Mp*(5*Δ/0.80)=Mp*(4Δ+5Δ)/0.80)=9*Mp*Δ/0.80.20*λ=9*Mp/0.80, Mp is given as 9.0 KN.m 20*λ=81/0.80=101.26, λ1=5.0625.

Based on the estimated lambda, we will determine the shear values at A and B and check whether any point has a moment greater than Mp. For the equilibrium at joint D for Part DB, the sum of moment=0, we will equate Mp to the moment from the right side, which is, 0.80*Vb-9.60*λ1

The load (32*λ1) = 32*5.0625 = 162.0 KN; VB = 72 KN. Estimate the moment at C, Mc = 72*0.50 = 36.0 KN · m. This moment is greater than the Mp value of 9 KN · m. The solution is not correct.

From the left side, we will find that MD equals 9 KN, which is exactly the value of Mp. load P, which is equal to λ1*Pw=5.0625*32=162 KN. We use a (statical method) and draw the moment diagram on one side and check the value of the moment at C, which is equal to PL/4-0.50 Mp=160*1/4-0.5*9=(162*1/4)-0.5*9=36 KN. That is the same value that we have estimated earlier.

It is not permitted to have a higher value at C =36.0 KN · m, so while performing the assumption of the point. We have to be sure that no value at the moment exceeds Mp; that is why it is an upper-bound theorem. A thorough check is to be conducted for another point.
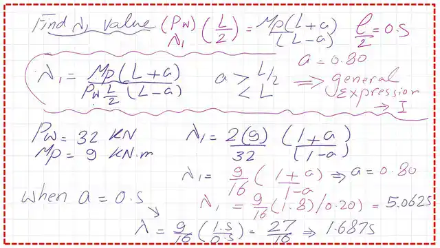
Derive a general expression for the value of lambda based on the location of the hinged support.
Case 1-Hinge at D with a distance of a from the right support.
We can derive an expressionfor the case where the plastic hinge is at D by giving a virtual rotation at B equal to 1. For β=1, we can obtain the deflection values at C and D. The deflection at C is equal to L/2, while the deflection at D equals a, where a is the distance from b to the Plastic hinge at D. The span length equals L.
Equate the external energy and internal energy. We have λ1*pw*L/2 = Mp(2*α + β). The α=(a/L-a) and β =1.
Readjust the term for internal energy, Wi=Mp*(2a/(L-a)+1)

Equating internal energy to external energy will yield an expression of λ1= Mp*(L+a)/(Pw*l/2)*(L-a) for a >L/2 but <L. Please refer to the following slide.

For our case where L=1, Mp=9 KN · m and Pw=32 KN, and a=0.80 m, we find that λ1=5.0625, whereas if we consider a=0.50 m, then λ1=1.6875.

The plastic hinges between joints C &B.
Another selection for a plastic hinge: if someone selects the plastic hinge location at d between C and B, a distance of 0.20 m from Joint B. Again, the angle at Joint A is α, and the angle at Joint B is β; the deflection at point d is Δ.
The deflection under the load will be a fraction of Δ, with A-C = 0.50 m. tan α = α = Δ/0.80; the deflection at C = (0.50/0.80)*Δ = (5/8)*Δ; tan β = Δ/0.20.
The external work at D= internal work, then 32*λ2*(deflection underneath the load)=32*λ2*((5/8)*Δ)=Mp*α+Mp*(α+β).

20*λ*Δ=Mp*(Δ/0.80+(25*Δ/4)=Mp*Δ*(6/0.80), Mp=9.0 KN.M. λ2=3.375.

Based on the estimated lambda, we will determine the shear values at A and B and check whether any point has a moment greater than Mp. For the equilibrium at joint E for Part EB, the sum of moment=0, we will equate Mp to the moment from the right side, which is 0.20*Vb=Mp, since Mp=9 KN · m, Vb=45 KN. The VA value equals 32*λ2-Vb=32*53.375-45=108-45=63 Kips.

The load at C=32λ=323.375 =108 KN, the moment at c=63*0.50-9=23.50 KN.M. While the Mp, which is the maximum value=9.0 KN.M.
The selection of the hinge to the right of point C is incorrect because it results in a higher moment >Mp at point C.

We use a (statical method) and draw the moment diagram on one side and check the value of the moment at C, which is equal to PL/4-0.50 Mp=160*1/4-0.5*9=(108*1/4)-0.5*9=22.5 KN. That is the same value that we have estimated earlier.

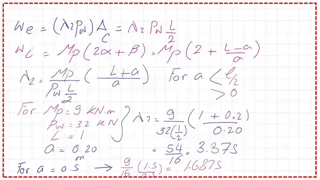
Case 2-Hinge at E with a distance of a from the right support.
We can derive an expressionfor the case where the plastic hinge is at E by giving a virtual rotation at A equal to 1. For α=1, we can obtain the deflection values at C and D. The deflection at C is equal to L/2, while the deflection at E equals L-a, where a is the distance from B to the Plastic hinge at E. The span length equals L. The value of angle β=(L-a/a).
Equate the external energy and internal energy. We have λ2*pw*L/2 = Mp(2*α + β). The α=(1) and β =L-a/a.
Readjust the term for internal energy: Wi = M_p*(2 + (L-a)/a).

Equating internal energy to external energy will yield an expression of λ2= Mp*(L+a)/(Pw*L/2)*(a) for a <L/2 but >0. For our case where L=1, Mp=9 KN · m and Pw=32 KN, and a=0.20 m, we find that λ2=1.6875, whereas if we consider a=0.50 m, then λ2=1.6875.Please refer to the following slide.

The Graph for the value of Mp is based on the locations of the plastic hinges.
The next page shows a graph in which the horizontal axis is the distance in m from support B, equal to a, while the y-axis represents the value of λ, the first choice where the hinge is on the left side, with a=0.80 m, the distance from the right support at B.
For a plastic hinge at the left of point c, λ=(9/16) *(a+1)/(1-a), this relation gives a curved shape; for every change of the value of a, there is a corresponding λ value. for 1-a=0.20 m, a=0.80 m.
The plastic hinge location was chosen to be between C and B. Another curve is given, a is also estimated as the distance from the right support B a distance=0.20m. The value of λ2= (9/16)*(1+a)/a=(9/16)*(1.0+0.20)/0.20)=(9/16)*(1.0+0.20)/0.20 =54/16 =3.375, which is represented by this point on the graph.
What is the correct selection?
It is the minimum λ, or the minimum value of P; collapse occurs at λ=1.6875. There is another way to express the value of Mp as a function of x, where x is the distance from the left support.
While the remaining distance will be L-x where l is the span distance, then we can see that in analyzing the proposed collapse we either correct, λc=1.6875 or we are unsafe λ>λc, this is why plastic analysis is an upper bound method. Another problem for a different load is included in the PDF document.

Thanks a lot. I will attach the PDF document for this post.
The Content of this post is quoted from the Structural analysis -III.
For the next post, refer to a plastic moment for continuous beams.
Here is the link to Chapter 8, Bending Members, in A Beginner’s Guide to the Steel Construction Manual, 14th ed.
Here is the link to Chapter 8, Bending Members, in A Beginner’s Guide to the Steel Construction Manual, 15th ed.
Here is the link to Chapter 8, Bending Members, in A Beginner’s Guide to the Steel Construction Manual, 16th ed.