Last Updated on November 9, 2025 by Maged kamel
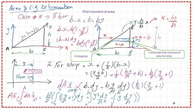
- How to determine the x bar for a right angle case-2?
- Using a horizontal strip to get x bar for a right angle case 2.
- Perform integration for the horizontal strip to get the area of the right-angle triangle.
- Perform integration for the horizontal strip to get the first-moment area about the Y-axis.
- X bar for a right angle case-2 final step.
- Using a vertical strip to get X-bar for a right angle case-2.
- Perform integration for the vertical strip to get the first-moment area about the Y-axis.
- X bar for a right angle case-2 final step.
How to determine the x bar for a right angle case-2?
For more information about the difference between case-1 and case-2, please refer to post-2.
Using a horizontal strip to get x bar for a right angle case 2.
We will start by using a horizontal strip to get the value of the X bar for a right angle case-2 or the CG horizontal distance to the y-axis.
We have X and Y axes respectively and the base of the triangle.

We have line AB with the length of b, the rise of the triangle is h, and the inclined portion AC, equation: y =m*x, m, which is a slope, is equal to+h/b *x, and the intersection with the y-axis =0. The following four steps are shown in the previous slide image.
Perform integration for the horizontal strip to get the area of the right-angle triangle.
The area of the triangle is the summation of all the tiny horizontal strips, which can be expressed by using the integration for the strip from the start which is y=0 to the end which is y=h, considering moving the strip in the vertical direction.
Since the strip width is (b-x) and its height=dy, we are going to use the relation by y and x as derived from the equation of line BC.
We will estimate the area dA as the product of x*dy. Since integration is in the vertical direction, we will omit the X expression by substituting its value in terms of y, the x value (b*y/h). Proceed with the integration, we will get the final area=0.50 b*h, which is a known formula for the area of a right-angle triangle, that is, the product of half base* height.

Perform integration for the horizontal strip to get the first-moment area about the Y-axis.
The expression of the dA*x-strip will be represented by the first moment of area about the y-axis, where the x-strip is the horizontal distance from the Cg of the strip to the y-axis.
The expression of dA*x-strip is shown in the next slide image, and integration will be carried out in the vertical direction from y=0 to y=h.

We notice that x strip from the cg of the strip to the y-axis=x+(b-x)*0.50=0.50(b+x).
The final A*x bar represents the product of total area * the horizontal CG distance from the y-axis will be found as in our case=b^2*h/3, where b is the triangle base, while h is the height.
X bar for a right angle case-2 final step.
Continue the estimation of the integration of the product of A *x bar; the full details are shown in the next slide image.

X bar value will be obtained by simply dividing the first moment of area /Area, we will get x bar for a right angle=2*b/3 or two-thirds of the base width.

Using a vertical strip to get X-bar for a right angle case-2.
Another approach by use a vertical strip to get the value of the X bar or the CG horizontal distance to the y-axis.
We have line AB with the length of b, the rise of the triangle is h, and the inclined portion AC, equation: y =mx+C, m is the slope is equal to +h/b *x, and the intersection with the y-axis =0.

The width of the strip =dx, and its height equals y. The area of that strip is dA=y*dx, since we are integrating it into the x-direction, we will omit the expression of y, by substituting its value in terms of x. The procedure is shown in the next image. The area=0.50*b*h, which is the same result obtained earlier by using the horizontal strip.
Perform integration for the vertical strip to get the first-moment area about the Y-axis.
The expression of the dA*x-strip will be represented by the first moment of area about the y-axis, where the x-strip is the horizontal distance from the Cg of the strip to the y-axis. The expression of dA*x-strip is shown in the next slide image, and integration will be carried out in the vertical direction from x=0 to x=b.
The final A*x bar represents the product of total area * the horizontal CG distance from the y-axis will be found as in our case=b^2*h/3, where b is the triangle base, while h is the height.
X bar for a right angle case-2 final step.
X bar value will be obtained by simply dividing the first moment of area /Area, we will get x bar for a right angle=b/3 or two-thirds of the base width.

This is a link to a good external reference, The Engineering Toolbox.
This is the link to the next post: y bar for a right angle case-2.