Last Updated on February 25, 2026 by Maged kamel
Moment Redistribution For Continuous Steel Beams.
Elastic redistribution for Moment values.
The design of continuous beams is a new subject. The first method is the elastic method of moment redistribution, also known as the 0.90 rule. We will introduce different types of beams with continuous spans and fixed end moments. We will see the values of moments before and after the redistribution.

Let us have a look at the shapes W-shapes, M shapes, S-shapes, Hp-shapes, and c-shapes, L-SHAPES, wt-shapes, HSS-shapes, and pipe-shapes, and the ASTM designation, the values of both Fy and Fult for each of these shapes. For instance, for a wide flanged beam, Fy=50-65 ksi is based on the steel of A992, and for hollow structural sections, it is rectangular, Fy=46 ksi.
This is a brief revision of the values of Fy and Fult for the different ASTM types.

The following image shows the shear and moment values of the continuous beams with three equal spans under a uniformly distributed load.

We can refer to Table 3-22c for different types of continuous spans, from 2 to 7 spans, and the corresponding shear and moment values under a distributed load.

The code requirements for the redistribution of moments.
The AISC code permits utilising this moment by redistributing it. Chapter B of the specification shows this procedure under clause B3.3. Please refer to the following slide images for more details.

The structural analysis for the applicable load combination shall determine the required strength of the structural members and connections, in accordance with section B2.
As we will see later, we can deduct 10% from the negative moment and add it to the positive moment, depending on the position of the maximum moment. The required yield stress is not to exceed 65 ksi.

The clause states that the steel section of the beam must be compact, in accordance with the requirements of section B4. Please refer to the following slide for the unstiffened and stiffened sections and their lambda p values.

Clause 5- for the unbraced length for Moment redistribution.

The following slides show the data for clause F13-5 of the Lm requirement, which specifies the distance between bracings to allow for moment redistribution.

The AISC has stated that the length between bracing should not exceed lm to allow redistribution. Most solved problems assume the beam has continuous bracing. In the Appendix on plastic analysis and design, Professor Segui discusses the F13-8 formula by presenting a solved problem (A-2).
The next slide shows the details of the equation of clause F13-8 for the Lm value.

How do we perform redistribution?
We will introduce a continuous beam with two equal spans, with the acting load being uniform. The following slide image shows the moment values before and after redistribution.

The maximum bending moment is 0.125 wl2, which is bigger than the positive value, which is 0.07 wl2. We will deduct 10% from the negative value, so the final value will be 9/80 wl2.

We add 0.5 of the 0.1*0.125 Wl^2, since the position of the maximum moment is at the midpoint of the first span. The final positive value equals 0.07625 Wl^2. Please refer to the following slide image.

Elastic moment distribution for a fixed-end beam with a central load.
We will now review a fixed-end moment with a one-span beam and a central point load. This sketch shows the fixed-end beam’s shear and bending moment values.

The values of the positive and negative moments are the same, equal to wl^2/8. The final negative moments equal 0.1125 PL, and the final positive value equals 0.1375 PL.
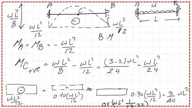
The following image shows the shear and moment values for a fixed-end beam under a uniformly distributed load.

Elastic moment distribution for a fixed-end beam with a uniform load.
Deduct 10% of the fixed-end moment value, and the final value of the fixed-end moment beam will be 3*WL^2/40.


The positive bending moment before redistribution is equal to 0.07 wl^2. After a moment, the redistribution will increase by 0.10*(w*L2)/12 = 0.00833 WL2. The slide image shows the moment’s value after using the 0.90 rule.
The PDF file for this post can be viewed or downloaded from the following link.
The next post solves Problem 4-15. It includes instructions for designing a two-span continuous beam and is considered an application of moment redistribution.
Here is the link to Chapter 8 – Bending Members, section, A Beginner’s Guide to the Steel Construction Manual, 14th ed.
Here is the link to Chapter 8 – Bending Members, section, A Beginner’s Guide to the Steel Construction Manual, 15th ed.
Here is the link to Chapter 8 – Bending Members, section, A Beginner’s Guide to the Steel Construction Manual, 16th ed.