Last Updated on February 25, 2026 by Maged kamel
Nominal shear strength for S41x121-Use CM#14.
Compute the Nominal shear strength for S41x121.
We have a given S41x121 steel section of A572 grade 65; we want to compute the nominal shear strength. We will apply CM#14 and the related specification 2010 in this example.
First, we will use Table 2-4 to find the yield stress Fy value for A572 steel grade 65. This type of steel has a yield stress Fy=65 ksi and an ultimate stress Fu=80 ksi.

The next question concerns the table to get the full data for S41x121; in part 1, we will find that Table 1-3 are used to get the information for sections.

The data for S21x121 can be obtained from Table 1-3 in Part 1. The following slide image shows the different S-shaped dimensions. The flange width bf is 8.05 inches, and the flange thickness is 1.09 inches.
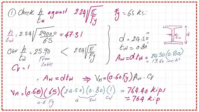
The depth of S21x121 is d=24.50 inches, and the web thickness is 0.80 inches. The most critical parameter is h/tw, which can be found in part 2 of the same table.

Find h/tw from Table 1-3, part 2.
The ratio of h over the thickness of the web is equal to 25.90. The distance h is between the web’s two filleted portions. The following slide image shows part 2 of Table 1-3. The ratio of the height of the web to the thickness of the web equals 25.90.

Find the limiting h/w based on Fy.
The limiting h/tw imiting h/w based on Fy are related, as shown in the next slide image. Based on the Fy of the given S41x121 for grade 65, the limiting h/w equals 47.30.

The following slide image shows the relation of h/tw and the nominal shear value. There are four zones; the first zone is from zero to 47.30, marked as point 1 on the x-axis, which is obtained from the relation of 2.24*sqrt(E/Fy); in this zone, Cv equals 1, and the φv equals 1.
The equation gives the nominal shear value for nominal shear Vn=Cv*0.60Fy*d*tw and can be written as 1*0.60Fy*Aw.
The second Zone is from h/tw equals 47.30 to 52, marked as point 2 on the x-axis, and is obtained from the relation of 1.1*sqrt(kv *E/Fy); in this zone, Cv equals 1, and the φv equals 0.90. The Kv factor equals 5.00 in specification 2010. The nominal shear value is given by the equation Vn=Cv*0.60*Fy*d*tw and can be written as 1*0.60*Fy*Aw.
The third Zone is from h/tw equals 52 and up to 64.70, Cv1 is less than 1, and the φv equals 0.90. The nominal shear value is given by the equation Vn=Cv*0.60*Fy*d*tw; the Cv equals 1.1*sqrt(kv *E/Fy)/(h/tw) or 53.69/(h/tw).
For section S24x121, h/tw is 64.71; in zone 3, the Cv value will be equal to 0.80292.
The last zone extends from Cv=0.80292 at h/tw=64.71 till h/tw=260, and the Cv value is given by 1.51*kv*E//(h/tw)^2*Fy. Please refer to the next slide image.

The nominal shear strength for S41x121.
The area of the web equals the product of the depth by the web thickness, or d*tw, which equals 24.50*0.80=19.60 inch2; The h/h/tw=25.90 from Table 3.1-Check against H/tw=2.24*sqrt(E/Fy=47.31.Since the section h/tw is less than 47.31, the cv value equals 1.0, and the nominal shear equals 1.0*(0.60*Fy)*(Aw)=1.02*0.6*65*19.60=764 Kips. The detailed calculations are shown in the next slide image.

Excel plot for h/tw versus Vn for S41x121.
An Excel plot for the relation between h/tw and the nominal shear Vn shows the four zones for shear. Zone 3 starts from Vn equals 764 kips to Vn equals 613.75 for/tw=46.71; our section is shown in the graph with h/tw=25.90 and the nominal shear value Vn=764 kips. I have used an Excel formula (If, then, and) to incorporate the equations for the shear nominal value. Thanks a lot.

As an external resource for the shear stress limit state.
The previously solved problem was checked based on CM#14.
The following post is a solved problem-Nominal shear strength for M10x7.50.