Last Updated on December 31, 2025 by Maged kamel
Ix-the moment of inertia for a right-angle-Case-2.
The moment of inertia-case-2 for a right-angle by using a horizontal strip.
To get the area and Moment of inertia for regular shapes, we can refer to the NCEES reference handbook, 3.50. The Moment Of Inertia Ix-Case-2 is the first item in the table.
The right-angle triangle, which is on the right side of the next slide, represents case No.2. Please refer to the next slide image.

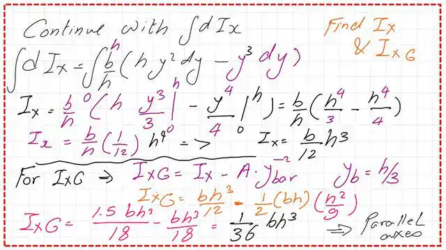
Step-by-step guide for the calculation of moment of inertia-case 2.
1-For Ix-Case-2 estimation, a horizontal strip will be used, the strip width is dy, and its height is x.
2- Since the strip height starts from the base and intersects with line AC, the y value is the same as the line AC equation, which is y=h*x/b.

3- the moment of inertia due to that strip=dA*y^2. Our strip’s left edge is at a distance =x.
4- the width of the strip=(b-x) and the depth is =dy.
5- We will substitute the value of dA, and try to make all our items as a function of y, since we will integrate from y=0 to y=h, for the Ix value.

6-After performing the integration, we get the value of inertia for a right-angle-Ix-case-2 as Ix=b*h^3/12 about the x-axis passing by the base.Ix=(base)*(height)^3/12.
7-For Ix at the CG, we will use the parallel axes theorem and deduce the product of the A*x-bar*y bar.
8- for x bar=b/3, while y bar=h/3. Finally, we get Ixg=b*h^3/36.
The moment of inertia-case-2 for a right-angle by using a vertical strip as an alternative method.
1-For the moment of inertia for a right-angle-triangle-case-2, the second alternative method, which uses a vertical strip, will be used; the strip width is (dx ), and its height is( y).
2- Since the strip height starts from the base and intersects with line AC, y- y-value is the same as the line Bc equation.
3-Inertia due to that strip=dx*y^3/3 as derived from the case of the rectangle.
4- Integrate the vertical strip of width dx from x=0 to x=b, the final answer is Ix=b*h^3/12, same as per the previous method by using a horizontal strip.

The radius of gyration can be calculated as the square root of (Ix/A). The inertia Ix at the base of the right-angle triangle- case 2 equals b*h^3/12. The area of the triangle equals =0.5*b*h. The square of the radius of gyration equals b*h^3/12/(0.5*b*h)=h^2/6. The kx value equals ( h/square root of 6).

For the estimation of Ixg at the Cg. We will subtract the product of the area and Y^2bar. We have the area=1/2bh, while ybar^2=(2/3b)^2. We will get Ixg = b*h^3/36, from which we can obtain K^2 g = h^2/18, as shown on the next slide. The kx value at the CG equals ( h/square root of 6).

You can download and review the content of this post through the following pdf file.
For an external resource, Engineering core courses, the moment of inertia.
This is a link to the playlist for all videos for inertia.
The following post is the moment of inertia for the right-angle triangle, Iy- Case 2.