Last Updated on March 1, 2026 by Maged kamel
A Solved Problem 4-9 For available compressive strength.
This is a summary of the content of post 5- compression.

A solved problem 4-9 for critical stress for a given W-section.
We are continuing with the strength-solved problems for compression members and how to use tables to obtain LRFD and ASD values.
Now with a new solved problem, problem 4-9 from Prof Segui’s handbook. We have a W12x58, 24 feet long, pinned at both ends and braced in the weak direction at the third point. In the x-direction, the column is braced at the top and bottom; hence, k=1.
The y-direction is braced at the third point, which means bracing for one-third of the column for each length of 8 feet.

We have two points. The purpose of this solved problem is to make k*L/r in the x-direction the main criterion for evaluating the buckling load, and it is sometimes the x-direction slenderness ratio that controls the strength by controlling the bracing in the y-direction of the column.

We will show the effective lengths (KL)x and (KL)y for the x- and y-directions. Please refer to the next slide for more information and the values of rx and ry for the W section.

What are the different ways to find the available compressive strength?
For evaluating available compressive strength, we use three methods. The first step is to use the general equation after checking whether the column is long or short, since this yields two different equations for Fcr estimation, where Fcr is the critical stress.
The second way is to use Table 4-1, with the required (Kl)y length, which is the larger of Kl required from the x-direction and Kl due to buckling in the y-direction.

The third way is to use Table 4-22, based on CM#14. Consider the larger value of (Kl/r) between the x- and y-directions, and get the factored stress; then multiply by the area. This table is replaced by Table 4-14 in CM#15. Please refer to the next slide for more information.

Table 4-1 assumes the column will buckle in the Y direction. That direction will control the design, but if (Kl) is greater than Kl at Y, we convert (Kl)x into a fake factor (Kl/rx/ry) and compare it with (KL)y, then select the larger value.

To convert from X to Y direction, consider the equation for Euler’s stress Fe =Pi^2*E/(Kl/r)x^2 equals the same stress but in the equivalent Y direction, Fe value =Pi^2*E/(Kl/r)y^2. Take the square roots of the two sides, and then we can find that KL/rx = Kl/ry. The equivalent Kl at y for x- is equal to Kl/rx/ry.

The next slide image shows the expression for (KL)y eq =Kl/rx/ry. fo our example Kl at x- direction equals 24 ft while Kl at Y=8 feet the Kl equivalent in Y from the x- direction =24/(5.28/2.51), where rx=5.28 inches and ry=2.51 inches. Then the design is controlled by the x-direction.

This is a mini-map showing how to convert the buckling (KL)x about the major axis to a fake value (Kl)y, used to compare with the original (KL)y about the minor axis to determine the controlling factor for buckling.

The next slide image shows the values of (Kl/rx) and (Kl/ry), and that the (KL/r)x is the bigger value.

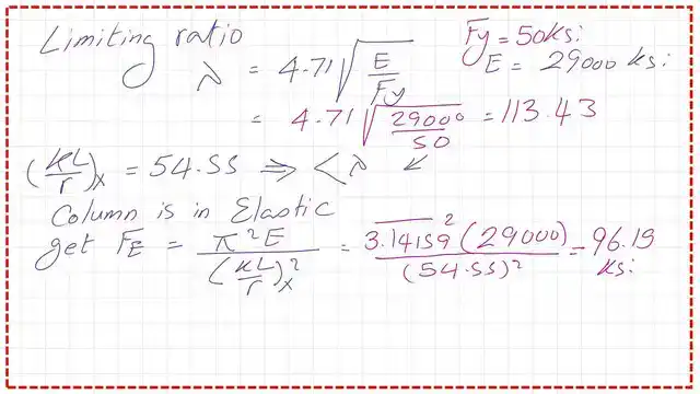
The maximum value of (Kl/r)x, which is equal to 54.55, will be compared to the limiting value of 4.71*sqrt(E/fy).
The limiting value for Fy equals 50 ksi, and the modulus of Elasticity equals 29000 ksi, which can be found to be equal to 113.43.
Our column is not in the elastic region. Hence, the critical stress Fcr is to be estimated from the relation Fcr=0.658^(Fy/Fe)*Fy. To calculate the value of Fcr, we need to assess the Euler stress based on buckling in the x-direction. The Euler stress is found to be equal to 96.19 ksi, as shown in the next slide image.

LRFD and ASD values for the critical stress for solved problem 4-9-General equation.
Once we have estimated the Euler stress, we will proceed to calculate the critical stress, plug in all the data, and obtain Fcr = 40.22 ksi.
The LRFD value of nominal compressive stress can be estimated by multiplying phi*Fcr * area. The area is 17.00 inch2. The Phi value is 0.90. We can get the value of 615.40 kips for the LRFD design.
The ASD value of nominal compressive stress can be estimated by multiplying (1/omega)*Fcr * area. The area is 17.00 inch2. The (1/omega) value is (1/1.67). We can get the value of 410 kips for the ASD design. The factored LRFD & ASDF values for Fcr can be computed from the general equation; these values are shown in the next image.

LRFD and ASD values for Critical stress for solved problem 4-9-Use Table 4-1.
We can use Table 4-1 from the construction manual 14 and Specification AISC 360-10. The Table will provide the available strength values for both LRFD and ASD designs. The controlling parameter is based on the (Kl) in the x-direction=11.41 feet—the value of phi*Pn=615.18 kips for the LRFD design.

For the ASD design, the value Pn/Ω = 410 kips was obtained via interpolation; please refer to the following slide.

LRFD and ASD values for Critical stress for solved problem 4-9-Table 4-22.
We can use Table 4-22 from the construction manual-14 and Specification AISC 360-10. The table will provide the critical stress values for both LRFD and ASD designs. The controlling parameter is based on the (Kl/r) in the y-direction.
We have estimated the controlling value of Kl/r to be 54.44. The factored LRFD value for Fcr can be computed from Table 4-22, phi*Fcr=36.24 ksi. We will multiply by gross area, phi*Pn=616.08 kips

The factored ASD value for Fcr can be computed from Table 4-22, (1/Ω )*Fcr=24.09 ksi. We will multiply by gross area, (1/Ω )*Pn=409.53 kips.

Thanks a lot, and I hope you will like the content of this post.
The PDF for this post can be viewed or downloaded from the following link.
This is the next post, post 6, the Alignment chart for columns.
For a good A Beginner’s Guide to the Steel Construction Manual, 14th ed. Chapter 7 – Concentrically Loaded Compression Members.
For a good A Beginner’s Guide to the Steel Construction Manual, 15th ed. Chapter 7 – Concentrically Loaded Compression Members.
For a good A Beginner’s Guide to the Steel Construction Manual, 16th ed. Chapter 7 – Concentrically Loaded Compression Members.