Last Updated on January 12, 2026 by Maged kamel
Transpose of a Matrix (definitions, solved problems).
Introduction to matrix transpose.
The next item contains the properties of a matrix’s transpose. The transpose lets us switch rows and columns. The transpose of a matrix with a dimension of (m × n) will give another matrix A T with a dimension of (n × m).
The letter T is a symbol of the transpose, and to be located as a power symbol, the first row will be the first column, the second row will be the second column, and so on.
For a given matrix A of dimension (2×3) after transpose will be with a dimension of (3×2), the first sequence was(1 2 3 & 2 1 3 ) after transpose will be (A)T=(1 2 & 2 1 & 3 3) with a dimension of 3×1.
Again, if we transpose the matrix, it will give a matrix of dimension (2×3), so the definition is correct. The transpose will return the matrix to its original value of A. For the addition of (A+B), then making a transpose, it will be the transpose of A+transpose of B.
Matrix A has the same values as given earlier, and a new matrix, B, of dimension 2×3.
While the B matrix is (0 2 4 & 1 5 6), after transposing it, it becomes (0 1 & 2 5 & 4 6), with a dimension of (3×2). After that, we add (A+B), with all elements added together, each to its corresponding element (1+0=1, 2+2=4, 3+4=7).
While for the second row (2+1 =3 & 1+5=6 & 3+6=9).
For the A+B, we will get the transpose matrix. The A+B are shown in red color.
The first column is (1, 4, 7), the second is (3, 6, 9), and the matrix is 3×2. Then we estimate (A)T or the transpose of matrix A and write it here. We have estimated the transpose of matrix B and will add the transpose of A plus the transpose of B.

The result matches the transpose of (A+B). This calculation proves the validity of the transpose of (A+B): = Transpose of A + Transpose of B.

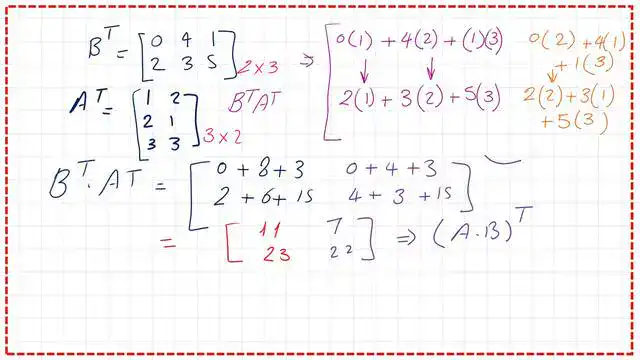
This is the third property, which states that the transpose of the product of(A),(B) equals the multiplication of the transpose of B by the transpose of A.
First, we multiply the two matrices A and B. Then, we estimate the transpose of the product of A by B. We multiply the transpose of B by the transpose of A.
The result matches the previously estimated transpose of A*B.

The next slide shows the value of BT by AT, and that it matches the transpose of the product AB.

Solved problems for the transposing of a matrix.
First solved problem 1.29- Transpose of a matrix.
This is the first problem 1.29 from Prof. Kuldeep Singh’s linear algebra step-by-step.
Four matrices are given: Matrix A is (-9 2 3& 7 -2 9& 6 -1 5) with a dimension of (3×3).
Matrix B is(1 0 0& 0 2 0& 0 0 3) with a dimension of (3×3). Matrix C is (-1 3 4 &7 9 0) with a dimension of (2×3).
Matrix D is (1 & 2& 3) with a dimension of (3×1). The transpose must be found for each given matrix.
In part I, the transpose of matrix A is required. We will convert columns to rows in the proper sequence. We will get the value of (A)T as (-9 7 6 & 12 -2 -1 & 3 9 5) of dimension 3×3.
In Part II, the transpose of matrix B is required. We will convert columns to rows in the proper sequence. Secondly, the transpose of b is evaluated, as well as the transpose of A. We will get the value of (B)T as ( 1 0 0& 0 2 0& 0 0 3) of dimension (3×3).

In part IIi, the transpose of matrix C is required. We will transfer columns into rows following the proper sequence. We will get the value of (C)T as (-1 7& 3 9 & 4 6) of dimension (3×2). In part iV, it is required to find the transpose of matrix DB. We will convert columns to rows in the proper sequence.
We will get the value of (D)T as (1 0 3) with dimensions (1×3).

The second solved problem 1.30-transpose of a matrix.
This is problem 1.30, the second problem, from Prof. Kuldeep Singh’s linear algebra step-by-step.
Two matrices are given: Matrix A is (3 -4 1& 5 2 6) with a dimension of (2×3).
Matrix B is( -2 7 5& 1 3 -9) with a dimension of (2×3).
In part a), we need to find the transpose of a matrix (A)T. We will convert columns to rows in the proper sequence. We will get the value of (A)T as (3 5& -4 2 & 1 6) of dimension (3×2).
Again, we get the matrix, the transpose of (A)T. The result will produce a matrix identical to matrix A.

In part b), it is required to find the transpose of a matrix (2*A)T-(3B)T. We will multiply the given matrix- A by 2. The next step is to convert the columns into rows in the proper sequence. We will get the value of (2A)T as ( 6 10& -8 4 & 2 12) of dimension (3×2).
We will multiply the given matrix- B by 3. The next step is to convert the columns into rows in the proper sequence. We will get the value of (-3B)T as (6 -3& -21 -9&-15 27) of dimension (3×2).
We will add -(3B)T to 2*A)T. The final matrix will be a matrix of dimension(3×2) as follows:(12 7&-29 -5 &-13 39). Please refer to the next slide image for more details.

In part c), the transpose of the matrix (A+B) is required. We will add matrix A to matrix B. The next step is to estimate the transpose of both matrices A and B. We will get the value of (A)T + (B)T as ( 1 6& 3 5& 6 -3) of dimension (3×2).

As shown in the slide image, the estimated matrix will equal (A+B)T. Part d is similar to part c.

In part e), it is required to find the transpose of the product of the two matrices A & B as (A*B)T.
Since matrix A is of dimension (2×3), while matrix B is of dimension (2×3), these two matrices can not be multiplied since the number of columns of matrix B exceeds the number of rows in Matrix A.

You can view or download the PDf file for this post from the following documents.
This links to the following post: Introduction to Types of Linear systems-Two variables.
This is a link to the matrix calculator.
For a useful external link, math is fun for the matrix part.